復合板材材料超聲波探傷方法
復合板材常見缺陷
1、制造方法:
母材——碳鋼或低合金鋼或不銹鋼板
復合層——不銹鋼、鈦及鈦合金、銅及銅合金,鋁及鋁合金,鎳及鎳合金等(加復合層目的:改進和提高耐腐蝕性能)。
制造方法:軌制、粘接、堆焊和爆炸。
2、常見缺陷:
① 脫層(脫接)即母材和復合層未粘合牢。
② 接合不良,界面處未全部復合好。
脫層和接合不良可以是完全脫接,也可以是部分脫接。
母材和復合層內的缺陷按鋼板檢驗方法檢測。
3、 檢測方法:
探頭:Φ14mm~Φ25mm 直探頭或 聯合雙直探頭,縱波檢測頻率:
2.5~5MHz, 一 般采用 5MHz 較 好。
探傷靈敏度:復合板完好區第一次底波 B1 達 80%滿幅高。
探測面:母材一側,也可以從復合層一側。
掃查方式:類似于探中厚板的鋼板探傷。按 JB/T4730-2005 標準4.4.3.3 條規定掃查。其中坡口預定線兩側各 50mm范圍內應做 100%掃查必須實施,其他掃查方式可根據實際情況確定。
4、 缺陷判別
4.1 兩種材料聲阻抗相近
如不銹鋼/碳鋼
可從母材側探測,也可從復合層側探測:當結合完好時,界面無反射波,只有底波;當結合不好或不完全結合時,從母材側探測,在底波前出現缺陷波,缺陷波多次相連,底波將下降,從復合層探測,在緊隨始波后及底波后出現缺陷波,缺陷波多次相連,底波將下降。
當結合面完全脫接時,從母材側探測,底波消失,缺陷波很高,始波和缺陷波之間聲程與母材厚度對應,從復合層側探測,底波消失,缺陷波緊隨始波,多次相連。
4.2 兩種材料聲阻抗相差較大,如鈦/碳鋼。
聲阻抗相差較大的界面對入射聲波均有反射波,故復合好時始終存在出現界面回波的情況,此時根據復合界面反射波寬度、高度和底波變化,可用試塊上反射體回波與工件界面波在掃描線上所占的寬度和高度及底波高度進行比較確定缺陷。一般認為,從復合層側探測,工件底波高于試塊底波,工件界面波在掃描線寬度小于試塊反射體回波寬度時為復合良好。從母材側探測,工件底波高于試塊底波,工件界面波低于試塊中反射體回波高度時為復合良好。
4.3 未結合區缺陷的測定
按 JB/T4730-2005 標準 4.4.5 條規 定,也可用鋼板底波來確定缺陷:當第一次底波高度低于熒光屏滿刻度的 5%,且明顯有未結合缺陷反射波存在,且波高≥5%,則該部位稱為未結合區。其尺寸大小測定方法為:移動探頭,使第一次底波升高到熒光屏滿刻度的 40%,以此時探頭中心作為未結合區邊界點。
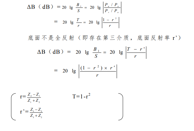
4.4 利用底波和復合界面波高 dB 差來判別復合情況。
條件:不考慮材質衰減與擴散衰減:
底面全反射時:

如碳鋼和不銹鋼等界面回波 dB 值為:

當 復合材 料工 件底 波與界 面回 波的 dB 差 值 經 實測 得到的 數值大于上述理論計算得到的數值時,說明該復合材料存在脫接。( 對 結 合 完 好 的 復 合 材 料 , 實 測 值 等 于 理 論 值 , 不 可 能 小 于 理論值。)
5、缺陷的測定
按 JB/T4730-2005 標準 4.4.6 條規定評定。 2.3.4.1 缺陷指示長度:按該缺陷最大長度作為其指示長度。單個缺陷指示長度小于 25mm 時不作 記錄。 2.3.4.2 缺陷面積多個相鄰的未結區,當其最小間距≤20mm 時,應作為單個未結合區處理,其面積為各個未結合區面積之和。
6、評級
復合鋼板質量等級評定按下表(標準的表 10):

在 坡 口 預 定 線 兩 側 各 50mm 范 圍 內 , 缺 陷 指 示 長 度 大 于 等 于 25mm 時均定為 Ⅳ。級。
