哪有參數會影響超聲波聲速變化?
我們在測量某種材料厚度時經常會用到超聲波脈沖反射原理,其中一個很關鍵的物理量就是需要知道材料的聲速值,聲速設定準確了才能測量出材料的準確厚度,在測量材料厚度時有客戶會問什么情況下需要重新校準材料的聲速值,所以我們首先要了解哪些參數會影響材料的聲速值變化?
超聲波波型不同時,介質彈性變形形式不同,聲速也會不一樣。同一波型的超聲波在介質中的傳播速度還與介質的彈性模量和密度有關。對特定的介質,彈性模量和密度為常數,故聲速也是常數。不同的介質,有不同的聲速。超聲波在介質中的傳播速度是表征介質聲學特性的重要參數。
1、固體介質不僅能傳播縱波,而且還可以傳播橫波和表面波等,但它們的聲速是不同的。此外介質尺寸的大小對聲速也有一定的影響,無限大介質與細長棒中的聲速也不一樣。
無限大固體介質中的聲速無限大固體介質是相對于波長而言的,當介質的尺寸遠大于波長時,就可以視為無限大介質。
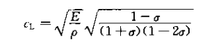
在無限大的固體介質中,縱波聲速為:
式中 E——介質的楊氏彈性模量
ρ——介質的密度;
——介質的泊松比,所有固體介質的泊松比。都在0~-0.5之間。由以上公式可知:固體介質中的聲速與介質的密度和彈性模量等有關,不同的介質,聲速不同;介質的彈性模量越大,密度越小,則聲速越大。
2、細長棒中的縱波聲速
在細長棒中(棒徑d≤λ)軸向傳播的縱波聲速與無限大介質中縱波聲速不同,細長中的縱波聲速為:
3、聲速與溫度、應力、均勻性的關系
固體介質中的聲速與介質溫度、應力、均性冇火般固體中的聲速隨介質溫度升高而降低。純鐵中的聲速與溫度的關系如下

通過以上公式及實驗數據我們可了解到材料的聲速值與材料的體積大小,密度,彈性模量,溫度、應力、均勻性都有關于,所以在采用超聲波測厚儀測量工件時,需要考慮以上幾點參數進行對應設置材料聲速。
